\(\renewcommand\AA{\unicode{x212B}}\)

FilterByLogValue v1

Summary

Filter out events from an EventWorkspace based on a sample log value satisfying filter criteria.

See Also

FilterByXValue, FilterEvents, FilterLogByTime, FilterBadPulses, FilterByTime

Properties

Name

Direction

Type

Default

Description

InputWorkspace

Input

EventWorkspace

Mandatory

An input event workspace

OutputWorkspace

Output

EventWorkspace

Mandatory

The name to use for the output workspace

LogName

Input

string

Mandatory

Name of the sample log to use to filter. For example, the pulse charge is recorded in ‘ProtonCharge’.

MinimumValue

Input

number

Optional

Minimum log value for which to keep events.

MaximumValue

Input

number

Optional

Maximum log value for which to keep events.

TimeTolerance

Input

number

0

Tolerance, in seconds, for the event times to keep. How TimeTolerance is applied is highly correlated to LogBoundary and PulseFilter. Check the help or algorithm documents for details.

LogBoundary

Input

string

Centre

How to treat log values as being measured in the centre of the time window for which log criteria are satisfied, or left (beginning) of time window boundary. This value must be set to Left if the sample log is recorded upon changing,which applies to most of the sample environment devices in SNS. Allowed values: [‘Centre’, ‘Left’]

PulseFilter

Input

boolean

False

Optional. Filter out a notch of time for each entry in the sample log named. A notch of width 2*TimeTolerance is centered at each log time. The value of the log is NOT used.This is used, for example, to filter out veto pulses.

Description

Filters out events using the entries in the Sample Logs.

Sample logs consist of a series of pairs. The first step in filtering is to generate a list of start-stop time intervals that will be kept, using those logs.

  • Each log value is compared to the min/max value filters to determine whether it is “good” or not.

    • For a single log value that satisfies the criteria at time T, all events between T+-Tolerance (LogBoundary=Centre), or T and T+Tolerance (LogBoundary=Left) are kept.

    • If there are several consecutive log values matching the filter, events between T1-Tolerance and T2+Tolerance, where T2 is the last “good” value (LogBoundary=Centre), or T1 and T2, where T2 is the first “bad” value (LogBoundary=Left) are kept.

  • The filter is then applied to all events in all spectra. Any events with pulse times outside of any “good” time ranges are removed.

There is no interpolation of log values between the discrete sample log times at this time. However, the log value is assumed to be constant at times before its first point and after its last. For example, if the first temperature measurement was at time=10 seconds and a temperature within the acceptable range, then all events between 0 and 10 seconds will be included also. If a log has a single point in time, then that log value is assumed to be constant for all time and if it falls within the range, then all events will be kept.

Warning

FilterByLogValue is not suitable for fast log filtering.

Logs that only record changes

In SNS, most of the sample environment devices record values upon changing. Therefore, the LogBoundary value shall set to Left but not Centre. And in this case, TimeTolerance is ignored.

Please check with the instrument scientist to confirm how the sample log values are recorded.

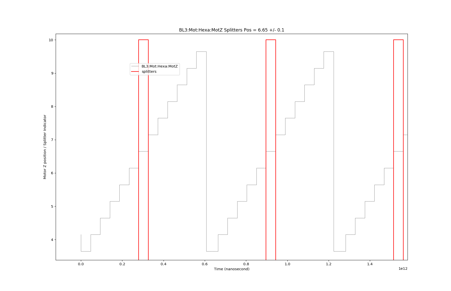
Here is an example how the time splitter works with the a motor’s position.

../_images/SNAP_motor_filter.png

For this SNAP run, the user wants to filter events with motor (BL3:Mot:Hexa:MotZ) position at value equal to 6.65 with tolerance as 0.1. The red curve shows the boundary of the time splitters (i.e., event filters).

PulseFilter (e.g. for Veto Pulses)

If you select PulseFilter, then events will be filtered OUT in notches around each time in the selected sample log, and the MinValue/MaxValue parameters are ignored. For example:

  • If you have 3 entries at times:

    • 10, 20, 30 seconds.

    • A TimeTolerance of 1 second.

  • Then the events at the following times will be EXCLUDED from the output:

    • 9-11; 19-21; 29-30 seconds.

The typical use for this is to filter out “veto” pulses from a SNS event nexus file. Some of these files have a sample log called “veto_pulse_time” that only contains times of the pulses to be rejected. For example, this call will filter out veto pulses:

ws = FilterByLogValue(ws, LogName="veto_pulse_time", PulseFilter="1")

Time Tolerance, Log Boundary and Pulse Filter

How TimeTolerance is applied to event filtering is highly correlated to the setup of property LogBoundary and PulseFilter.

  • If PulseFilter is true, a notch of width 2 * TimeTolerance is centered at each log time. Neutron events in this notch will not be used.

  • If PulseFilter is false and LogBoundary is Left, TimeTolerance is ignored in the algorithm.

  • If PulseFilter is false and LogBoundary is set to Centre, assuming the log entries are (t0, v0), (t1, v1), (t2, v2), (t3, v3), ... (t_n, v_n) ....

    • If there is a log entry (t_i, v_i) is between MinimumValue and MaximumValue, while v_{i-1} and v_{i+1} are not in the desired log value range, all events between t_i - TimeTolerance and t_i + TimeTolerance) are kept.

    • If there are several consecutive log entries that have values in the desired log value range, such as (t_i, v_i), ..., (t_j, v_j), events between t_i - TimeTolerance and t_j + TimToleranc are kept.

    A good value is 1/2 your measurement interval if the intervals are constant.

Comparing with GenerateEventsFilter/FilterEvents

The combination of GenerateEventsFilter and FilterEvents with proper configuration can produce same result as FilterByLogValue.

For sample,

from mantid.simpleapi import *

# Load data
LoadEventNexus(Filename='/SNS/SNAP/IPTS-25836/nexus/SNAP_52100.nxs.h5', OutputWorkspace='52100')

# FilterByLogValue
FilterByLogValue(InputWorkspace='52100',
                 OutputWorkspace='52100_hexaZ_L',
                 LogName='BL3:Mot:Hexa:MotZ',
                 MinimumValue= 6.55,
                 MaximumValue= 6.75,
                 LogBoundary='Left')

# Equivalent GenerateEventsFilter/FilterEvents combination
GenerateEventsFilter(InputWorkspace='52100',
                     OutputWorkspace='MotZSplitter_left',
                     InformationWorkspace='MotZSplitter_left_info',
                     LogName='BL3:Mot:Hexa:MotZ',
                     MinimumLogValue=6.55,
                     MaximumLogValue=6.75,
                     LogBoundary='Left',
                     TitleOfSplitters='Left')
FilterEvents(InputWorkspace='52100',
             SplitterWorkspace='MotZSplitter_left',
             OutputWorkspaceBaseName='Chop52100',
             InformationWorkspace='MotZSplitter_left_info',
             FilterByPulseTime=True)

The OutputWorkspace with name Chop52100_0 output from FilterEvents is equivalent to 52100_hexaZ_L from FilterByLogValue.

Here is the comparison between FilterByLogValue and GenerateEventsFilter/FilterEvents.

  1. FilterByLogValue can only filter events at the resolution of neutron pulse.

    • If the start time t_s of a splitter is inside a pulse, then all the events inside that pulse but before t_s will be included in the filtered workspace.

    • If the end time t_e of a splitter is inside a pulse, then all the events inside that pulse even before t_e will be excluded in the filtered workspace.

    • FilterEvents is able to do the filtering precisely to include events only within time range [t_s, t_e).

  2. FilterByLogValue can only filter events around only one log value, while GenerateEventsFilter/FilterEvents combination can filter events against a series of log values.

  3. GenerateEventsFilter/FilterEvents have more outputs to examine the result.

The Event Filtering page has a detailed introduction on event filtering in mantid.

Usage

Example - Filtering by a simple time series Log

ws = CreateSampleWorkspace("Event",BankPixelWidth=1)

AddTimeSeriesLog(ws, Name="proton_charge", Time="2010-01-01T00:00:00", Value=100)
AddTimeSeriesLog(ws, Name="proton_charge", Time="2010-01-01T00:10:00", Value=100)
AddTimeSeriesLog(ws, Name="proton_charge", Time="2010-01-01T00:20:00", Value=100)
AddTimeSeriesLog(ws, Name="proton_charge", Time="2010-01-01T00:30:00", Value=100)
AddTimeSeriesLog(ws, Name="proton_charge", Time="2010-01-01T00:40:00", Value=15)
AddTimeSeriesLog(ws, Name="proton_charge", Time="2010-01-01T00:50:00", Value=100)

print("The unfiltered workspace {} has {} events and a peak value of {:.2f}".format(ws, ws.getNumberEvents(),ws.readY(0)[50]))

wsOut = FilterByLogValue(ws,"proton_charge",MinimumValue=75, MaximumValue=150)

print("The filtered workspace {} has {} events and a peak value of {:.2f}".format(wsOut, wsOut.getNumberEvents(),wsOut.readY(0)[50]))

Output:

The unfiltered workspace ws has 1900 events and a peak value of 2...
The filtered workspace wsOut has 950 events and a peak value of 1...

Categories: AlgorithmIndex | Events\EventFiltering

Source

C++ header: FilterByLogValue.h

C++ source: FilterByLogValue.cpp